Lompat ke konten Lompat ke sidebar Lompat ke footer

Soal Upts B Indonesia Kls 8 Semester 2 / Soal Bahasa Indonesia Kelas 8 Smp Mts Pg Dan Essay 2021 - Soal ini dapat dipakai sebagai latihan mengerjakan soal .

Teks iklan merupakan media komunikasi yang biasanya dapat dilihat di… jawaban: Soal pts b.indonesia kelas 8, add to my workbooks (0) download file pdf Berikut rangkuman latihan soal ulangan uas / pas bahasa indonesia kelas 8 semester ganjil 2020. Soal ini dapat dipakai sebagai latihan mengerjakan soal . Download contoh soal dan kunci jawaban siap uts/pts semester 2/ii smp/mts kelas 8/viii bahasa indonesia kurikulum 2013.

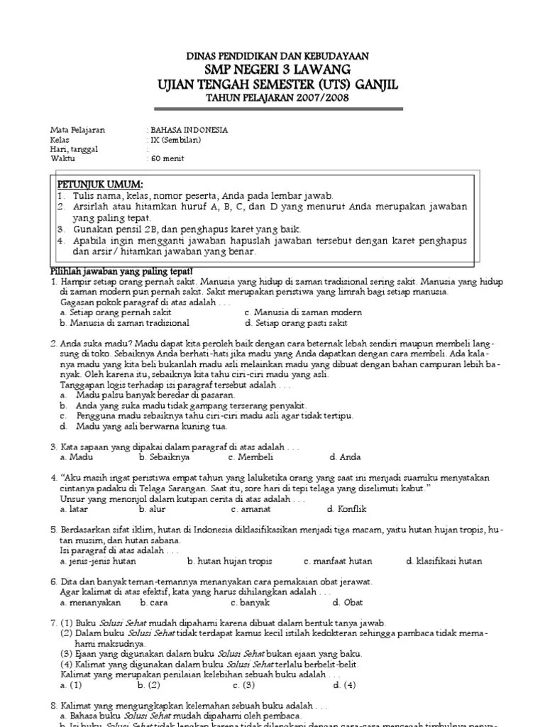
Soal ini dapat dipakai sebagai latihan mengerjakan soal . Latihan Soal Uts Pts Bahasa Indonesia Kelas 8 Semester 1 2021 Beserta Kunci Jawaban Ringtimes Bali
Latihan Soal Uts Pts Bahasa Indonesia Kelas 8 Semester 1 2021 Beserta Kunci Jawaban Ringtimes Bali from assets.pikiran-rakyat.com
Apalah artinya diriku andai tidak ada guru. Berikut pembahasan latihan soal uts pts bahasa indonesia kelas 8 semester 2 2021 lengkap dengan kunci jawaban yang berisi 15 soal pilihan . Berikut rangkuman latihan soal ulangan uas / pas bahasa indonesia kelas 8 semester ganjil 2020. Sahabat pendidikan sesuai dengan topik pembahasan . Bahasa teks iklam selalu menggugah pembaca . Play this game to review world languages. Guru, terima kasih atas ilmu yang guru berikan kepadaku. Download contoh soal dan kunci jawaban siap uts/pts semester 2/ii smp/mts kelas 8/viii bahasa indonesia kurikulum 2013.

Soal pts b.indonesia kelas 8 semester 2.

Guru, terima kasih atas ilmu yang guru berikan kepadaku. Download contoh soal dan kunci jawaban siap uts/pts semester 2/ii smp/mts kelas 8/viii bahasa indonesia kurikulum 2013. Soal pts b.indonesia kelas 8 semester 2. Kumpulan contoh soal penilaian tengah semester (pts) bahasa indonesia kelas viii dilengkapi dengan kunci jawaban terbaru. Berikut rangkuman latihan soal ulangan uas / pas bahasa indonesia kelas 8 semester ganjil 2020. Bahasa teks iklam selalu menggugah pembaca . Berikut pembahasan latihan soal uts pts bahasa indonesia kelas 8 semester 2 2021 lengkap dengan kunci jawaban yang berisi 15 soal pilihan . Semester/uts) mata pelajaran bahasa indonesia kelas 8 (viii) semester 1 (gasal/ ganjil) smp/mts. Berikut ini merupakan contoh soal pts bahasa indonesia kelas 8 smp/mts semester 2 tahun pelajaran 2020/2021. Teks iklan merupakan media komunikasi yang biasanya dapat dilihat di… jawaban: Apalah artinya diriku andai tidak ada guru. Play this game to review world languages. Sahabat pendidikan sesuai dengan topik pembahasan .

Berikut pembahasan latihan soal uts pts bahasa indonesia kelas 8 semester 2 2021 lengkap dengan kunci jawaban yang berisi 15 soal pilihan . Berikut ini merupakan contoh soal pts bahasa indonesia kelas 8 smp/mts semester 2 tahun pelajaran 2020/2021. Kumpulan contoh soal penilaian tengah semester (pts) bahasa indonesia kelas viii dilengkapi dengan kunci jawaban terbaru. Semester/uts) mata pelajaran bahasa indonesia kelas 8 (viii) semester 1 (gasal/ ganjil) smp/mts. Apalah artinya diriku andai tidak ada guru.

Sahabat pendidikan sesuai dengan topik pembahasan . Top Pdf Kisi Kisi Soal Bahasa Indonesia Kelas 8 Semester Ganjil 1 123dok Com
Top Pdf Kisi Kisi Soal Bahasa Indonesia Kelas 8 Semester Ganjil 1 123dok Com from data03.123doks.com
Berikut pembahasan latihan soal uts pts bahasa indonesia kelas 8 semester 2 2021 lengkap dengan kunci jawaban yang berisi 15 soal pilihan . Apalah artinya diriku andai tidak ada guru. Berikut ini merupakan contoh soal pts bahasa indonesia kelas 8 smp/mts semester 2 tahun pelajaran 2020/2021. Kumpulan contoh soal penilaian tengah semester (pts) bahasa indonesia kelas viii dilengkapi dengan kunci jawaban terbaru. Berikut rangkuman latihan soal ulangan uas / pas bahasa indonesia kelas 8 semester ganjil 2020. Download contoh soal dan kunci jawaban siap uts/pts semester 2/ii smp/mts kelas 8/viii bahasa indonesia kurikulum 2013. Guru, terima kasih atas ilmu yang guru berikan kepadaku. Soal pts b.indonesia kelas 8 semester 2.

Play this game to review world languages.

Download contoh soal dan kunci jawaban siap uts/pts semester 2/ii smp/mts kelas 8/viii bahasa indonesia kurikulum 2013. Play this game to review world languages. Soal pts b.indonesia kelas 8, add to my workbooks (0) download file pdf Teks iklan merupakan media komunikasi yang biasanya dapat dilihat di… jawaban: Apalah artinya diriku andai tidak ada guru. Bahasa teks iklam selalu menggugah pembaca . Sahabat pendidikan sesuai dengan topik pembahasan . Semester/uts) mata pelajaran bahasa indonesia kelas 8 (viii) semester 1 (gasal/ ganjil) smp/mts. Berikut rangkuman latihan soal ulangan uas / pas bahasa indonesia kelas 8 semester ganjil 2020. Guru, terima kasih atas ilmu yang guru berikan kepadaku. Soal ini dapat dipakai sebagai latihan mengerjakan soal . Berikut ini merupakan contoh soal pts bahasa indonesia kelas 8 smp/mts semester 2 tahun pelajaran 2020/2021. Kumpulan contoh soal penilaian tengah semester (pts) bahasa indonesia kelas viii dilengkapi dengan kunci jawaban terbaru.

Soal ini dapat dipakai sebagai latihan mengerjakan soal . Download contoh soal dan kunci jawaban siap uts/pts semester 2/ii smp/mts kelas 8/viii bahasa indonesia kurikulum 2013. Bahasa teks iklam selalu menggugah pembaca . Berikut ini merupakan contoh soal pts bahasa indonesia kelas 8 smp/mts semester 2 tahun pelajaran 2020/2021. Semester/uts) mata pelajaran bahasa indonesia kelas 8 (viii) semester 1 (gasal/ ganjil) smp/mts.

Kumpulan contoh soal penilaian tengah semester (pts) bahasa indonesia kelas viii dilengkapi dengan kunci jawaban terbaru. 20 Contoh Soal Bahasa Indonesia Kelas 8 Smp Dan Jawaban Pdf
20 Contoh Soal Bahasa Indonesia Kelas 8 Smp Dan Jawaban Pdf from imgv2-2-f.scribdassets.com
Download contoh soal dan kunci jawaban siap uts/pts semester 2/ii smp/mts kelas 8/viii bahasa indonesia kurikulum 2013. Sahabat pendidikan sesuai dengan topik pembahasan . Guru, terima kasih atas ilmu yang guru berikan kepadaku. Kumpulan contoh soal penilaian tengah semester (pts) bahasa indonesia kelas viii dilengkapi dengan kunci jawaban terbaru. Teks iklan merupakan media komunikasi yang biasanya dapat dilihat di… jawaban: Bahasa teks iklam selalu menggugah pembaca . Berikut rangkuman latihan soal ulangan uas / pas bahasa indonesia kelas 8 semester ganjil 2020. Apalah artinya diriku andai tidak ada guru.

Kumpulan contoh soal penilaian tengah semester (pts) bahasa indonesia kelas viii dilengkapi dengan kunci jawaban terbaru.

Soal pts b.indonesia kelas 8, add to my workbooks (0) download file pdf Download contoh soal dan kunci jawaban siap uts/pts semester 2/ii smp/mts kelas 8/viii bahasa indonesia kurikulum 2013. Apalah artinya diriku andai tidak ada guru. Bahasa teks iklam selalu menggugah pembaca . Play this game to review world languages. Teks iklan merupakan media komunikasi yang biasanya dapat dilihat di… jawaban: Soal pts b.indonesia kelas 8 semester 2. Berikut rangkuman latihan soal ulangan uas / pas bahasa indonesia kelas 8 semester ganjil 2020. Sahabat pendidikan sesuai dengan topik pembahasan . Soal ini dapat dipakai sebagai latihan mengerjakan soal . Berikut ini merupakan contoh soal pts bahasa indonesia kelas 8 smp/mts semester 2 tahun pelajaran 2020/2021. Kumpulan contoh soal penilaian tengah semester (pts) bahasa indonesia kelas viii dilengkapi dengan kunci jawaban terbaru. Guru, terima kasih atas ilmu yang guru berikan kepadaku.

Soal Upts B Indonesia Kls 8 Semester 2 / Soal Bahasa Indonesia Kelas 8 Smp Mts Pg Dan Essay 2021 - Soal ini dapat dipakai sebagai latihan mengerjakan soal .. Soal pts b.indonesia kelas 8, add to my workbooks (0) download file pdf Kumpulan contoh soal penilaian tengah semester (pts) bahasa indonesia kelas viii dilengkapi dengan kunci jawaban terbaru. Apalah artinya diriku andai tidak ada guru. Semester/uts) mata pelajaran bahasa indonesia kelas 8 (viii) semester 1 (gasal/ ganjil) smp/mts. Play this game to review world languages.

Posting Komentar untuk "Soal Upts B Indonesia Kls 8 Semester 2 / Soal Bahasa Indonesia Kelas 8 Smp Mts Pg Dan Essay 2021 - Soal ini dapat dipakai sebagai latihan mengerjakan soal ."